Menu
- Home
-
Algebra
- Disequazioni fratte
- Disequazioni I grado
- Disequazioni II grado
- Disequazioni irrazionali
- Disequazioni letterali
- Disequazioni valore assoluto
- Divisione fra polinomi
- Equazioni I grado
- Equazioni II grado
- Equazioni irrazionali
- Equazioni letterali
- Equazioni parametriche
- Equazioni valore assoluto
- Frazioni algebriche
- Monomi
- Polinomi
- Prodotti Notevoli
- Razionalizzazione
- Scomposizione in fattori
- Analisi Matematica
- Geometria Analitica
- Goniometria
- Logaritmi - Esponenziali
- Trigonometria
- Maturità - Prove
venerdì 25 settembre 2015
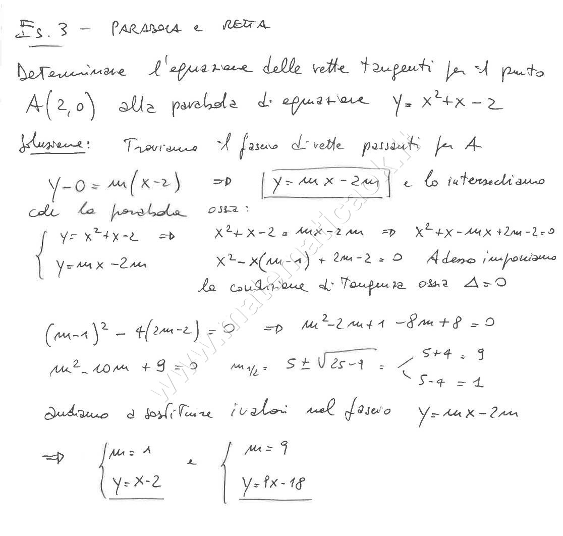
Esercizio 3 - Parabola e retta
Iscriviti a:
Commenti sul post (Atom)

Nessun commento:
Posta un commento